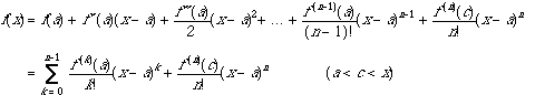
Taylorの定理は,関数f(x)が区間[a, x]でn回微分可能なとき,f(x)をf(a), f'(a), f''(a), ..., f(n)(a)を使ってxの多項式で表す方法を示したものです.f(x)は,下のように表されます.
(*)
f(x)を(n-1)次の多項式で次のように近似するとします.
![]()
このとき,f(a) = a0です.また,

ですから,

となり,各係数が得られます.
Taylorの定理の展開式(*)の最後の項は剰余項と呼ばれ,多項式で近似しきれなかった部分が入っています.これが
となることは,平均値の定理を使って証明できます(「微分学」の講義で習ってください).
ここでは,この剰余項の意味を次のコマ漫画で説明します.





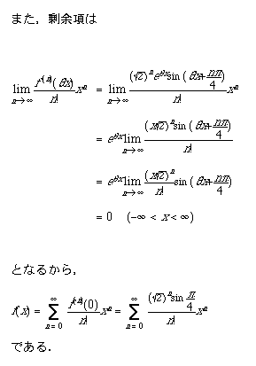
もし,f(x)が[a, x]で無限回微分可能(C∞級といいます)で,剰余項のn→∞の極限が0,すなわち
![]()
ならば,f(x)は下の無限級数で表せます.
![]()
これをTaylor級数と呼びます.このことは,「f(a), f'(a), f''(a), ..., f(n)(a), ... が全てわかっていれば,点aでの情報だけをもとにf(x)が復元できる」ことを示しています.
Taylor展開の式で,a = 0, c = θxとおくと,cの範囲a<c<xは,θの範囲0<θ<1と同値です.このとき展開式は
![]()
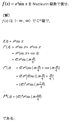
となります.これをMaclaurinの定理と呼びます.また,[0,x]で無限回微分可能で,n→∞で剰余項→0なら,
![]()
となります.これをMaclaurin展開と呼びます.

(注)ここで,
(-∞ < x
< ∞)
を用いました.この定理はこの手の問題を解くときによく使われます.



(注)ここで,
を用いました.