前々回の演習で,行列式の展開を説明しました.行列式|A|の第j列に関する展開は,i行j列に関する小行列式をDij,余因子をAijとすると,
![]()
となります.
では,j≠kのとき,
![]()
の値はいくらでしょうか?
ここで,行列式|A|の第k列を,第j列と同じ列ベクトルに置き換えた行列式|A'|を考えます.|A'|を第k列で展開すると,
![]()
となりますが,ここで第k列と第j列は同じですから,aik = aij (i = 1, 2, ... , n)で,
![]()
となります.ところで,|A'|には同じ要素の列が2つあるので,5月14日の演習で説明した定理の(5)によって,|A'|= 0です.
したがって,j≠kのとき,
![]()
となります.
以上のことを行列で表示すると,第j行・第j列について

となり,他の行・列も考えると

すなわち,Eを単位行列として
![]()
とあらわせます.ここで,

で,
を余因子行列といいます.
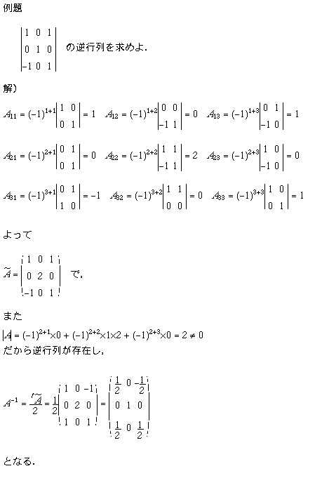
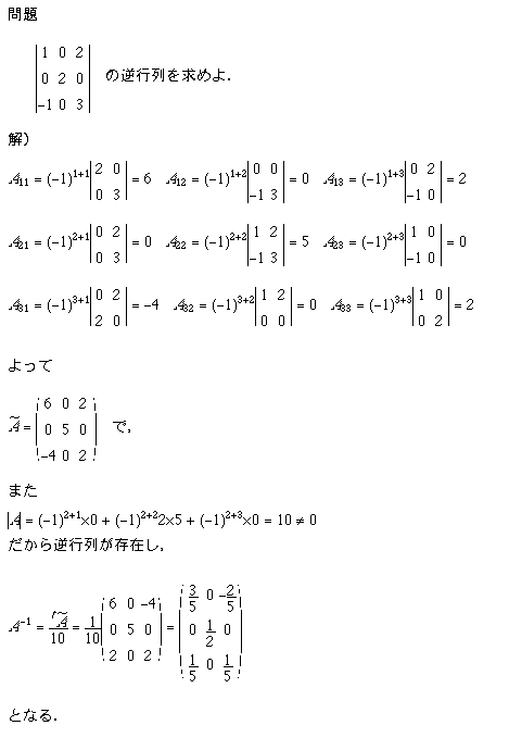
上の式から,|A|≠0のとき,Aの逆行列A-1は,
![]()
とあらわされます.





講義中

を余因子行列としましたが,
の方が余因子行列です.おわびし,訂正します.